开元棋牌
研究生在海洋工程TOP期刊《Ocean Engineering》发表论文
发布时间: 2022-10-08
浏览次数:
开元棋牌 研究生在海洋工程TOP期刊《Ocean Engineering》发表论文
近日,开元棋牌 章子华教授课题组2020级土木水利专业学位硕士生汪晓倩以第一作者身份在海洋工程领域TOP期刊《Ocean Engineering》发表题为“Transient analysis of a novel full submersible floating offshore wind turbine with CFRP tendons” 的学术论文(论文链接://doi.org/10.1016/j.oceaneng.2022.112686)。

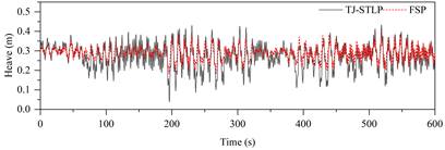
大力发展风电是我国实现“双碳”目标的战略举措。较陆上风电而言,海上风电在经济性上具有显著优势,但深海区域风电结构面临台风等极端天气的威胁。论文综合了张力腿式、Spar式等浮式风电平台的优点,提出了一种CFRP索锚型全潜式平台(FSP)。通过对FSP频域特性分析和风浪联合作用下的瞬态响应分析,探讨了不同工况下FSP的稳定性,验证了其优越的抗台风性能。
|
|
(a) 整体结构 |
(b) 全潜式平台结构 |
图1 CFRP索锚型全潜式风电结构示意图

(a) 纵荡

(b) 垂荡

(c) 纵摇
图2 台风工况下FSP与TJ-STLP动力响应对比
据悉,《Ocean Engineering》是海洋工程领域的国际权威期刊,最新WOS期刊SCI分区为Q1,中科院SCI期刊分区为小类1区、大类2区,影响因子4.372。期刊主编为国际著名的海洋工程专家、英国斯特拉斯克莱德大学副校长Atilla Incecik教授。

